突破传统检测瓶颈:MetaCAP 助力感染性胰腺坏死病原精准诊断及预后
扫一扫
分享文章到微信

扫一扫
关注豌豆财经网微信公众号
近日,中南大学湘雅医院普通外科胰腺外科黄耿文教授团队与金域医学(603882)团队,在感染性胰腺坏死(Infected Pancreatic Necrosis, IPN)精准诊疗领域的合作研究取得新进展。相关研究发表于《BMC Infectious Diseases》。
该项前瞻性临床研究系统评估了探针捕获靶向高通量测序技术(MetaCAP )在疑似IPN患者中的诊断性能,证实该技术在灵敏度、检测时效性及真菌检出方面显著优于传统培养,并首次揭示了毒力因子与患者不良预后的强相关性。该成果有望为重症胰腺炎患者的早期精准抗感染治疗提供新的策略。

IPN诊疗面临临床困境与挑战
MetaCAP 可为精准诊疗提供依据
IPN是急性坏死性胰腺炎最严重的并发症之一,显著增加患者的死亡率和致残率。根据国际指南,及时、准确的病原学诊断是指导抗感染治疗、改善重症胰腺炎患者预后的关键。
然而,现有的诊断手段面临诸多挑战。传统微生物培养虽然特异性高,但灵敏度较低(仅约20%-30%),且耗时较长,常难以满足急危重症患者的救治需求;宏基因组测序(mNGS)虽具备广谱检测优势,但受人源宿主基因干扰大、成本较高且数据分析复杂,在临床普及应用中存在一定局限。临床亟需一种兼具高灵敏度、快速且高性价比的病原诊断新技术。
针对IPN这一重症并发症,MetaCAP 一站式“病原+耐药”解决方案,直击临床核心痛点,可为IPN的精准诊疗与预后管理提供可靠依据:
病原复杂难辨:快速鉴别细菌、真菌及潜在病毒感染,突破传统培养局限。
耐药与混合感染高发:当经验性抗感染疗效不佳时,同步明确耐药基因与混合感染情况,及时指导方案调整。
预后评估需求:通过检测特定毒力基因,辅助评估感染严重程度与预后风险。
研究证实
MetaCAP 在灵敏度
时效性等方面优势显著
为验证MetaCAP 在IPN诊疗中的效能,研究团队开展单中心前瞻性观察研究,纳入了2023年12月至2025年5月期间中南大学湘雅医院收治的51例疑似IPN患者。
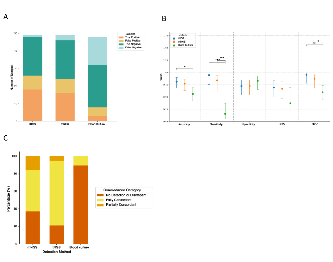
研究团队采集患者血液样本,同步进行MetaCAP 、mNGS及传统血培养检测。对于符合手术指征的患者,在首次手术中采集胰周坏死组织或胰周脓液进行培养,以此作为确诊IPN的“金标准”,对三种检测方法的灵敏度、特异性、一致性及周转时间(TAT)进行了比较。研究显示,在IPN诊疗中,MetaCAP 可实现快速精准诊断与预后风险预警的双重突破,助力临床把握黄金救治窗口。

更快、更准锁定“真凶”:灵敏度高达94.7%
对于IPN患者,快速、准确地找到致病微生物是挽救生命的关键。该研究以胰周穿刺或手术标本培养结果为“金标准”,全面评估了MetaCAP 的诊断能力:
灵敏度显著提升:MetaCAP 的病原检出灵敏度高达94.7%,显著高于传统血培养的15.8%,且与mNGS (84.2%) 相当。
定位更精准:在确诊IPN的患者中,MetaCAP 检测结果与感染核心部位(胰周)的病原一致性达到 78.9%,远高于血培养的10.5%。
时效更快:得益于独有的探针富集技术,MetaCAP 的平均周转时间(TAT)仅为27.2小时,较mNGS的43.5小时缩短约16小时,较血培养的163.8小时更是缩短了5天以上。这一时间优势,对于处于感染性休克或多器官功能衰竭风险中的危重患者至关重要,能够为临床争取宝贵的救治窗口期。

覆盖更全,不放过“隐秘威胁”
IPN感染常为混合感染,且继发致命的真菌感染风险高。MetaCAP 在本研究中累计检出9种真菌,其检出能力优于传统培养和mNGS。考虑到真菌血症是IPN患者死亡的独立危险因素,这种高灵敏度对于早期干预至关重要。
同时,对于肺炎克雷伯菌、鲍曼不动杆菌等IPN常见革兰阴性菌,MetaCAP 也显示出更高的检出率,有效覆盖了IPN的核心致病菌谱。
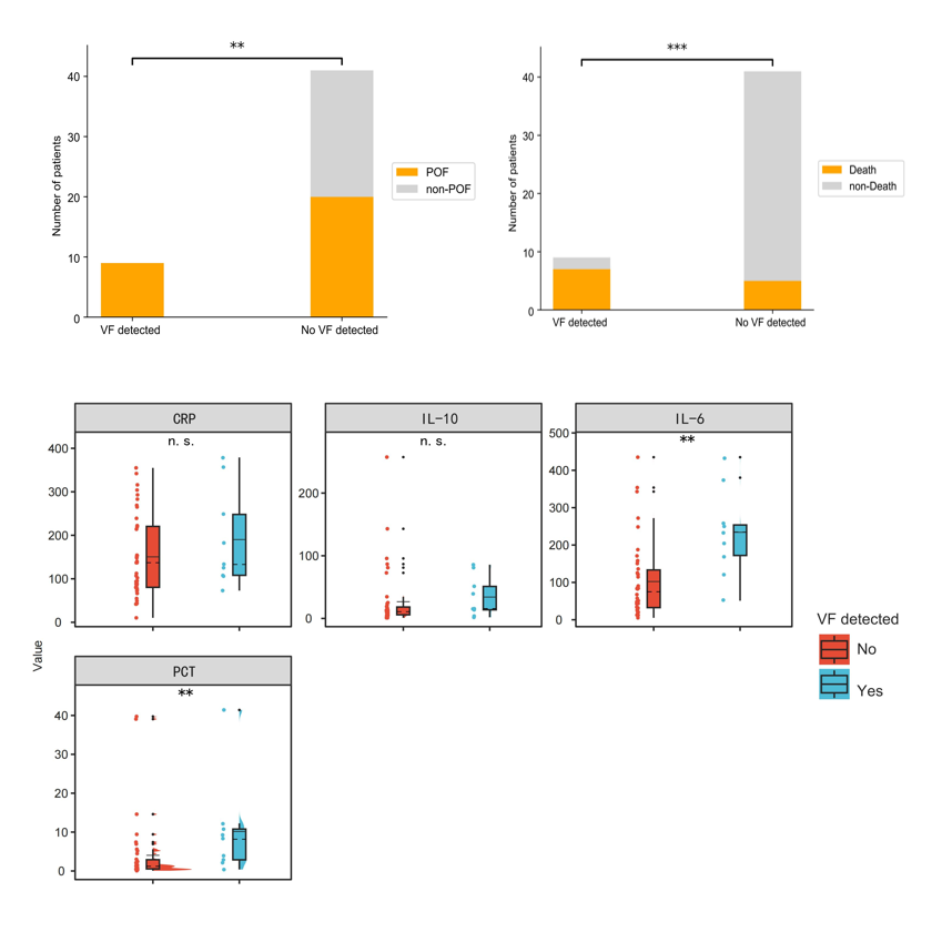
预警预后,识别“高危”患者
MetaCAP 的价值不仅在于“找到了什么”,更在于“找到了怎样的病原体”。研究重点分析了病原体携带的毒力因子与患者临床结局的关联,发现了明确预警信号。
研究发现,毒力因子主要检出于肺炎克雷伯菌和鲍曼不动杆菌。其中,肺炎克雷伯菌常携带编码气杆菌素的 iuc 家族基因(如 iucA、iucB、iucC、iucD)及高粘液表型调节基因rmpA,而鲍曼不动杆菌则主要检出与生物膜形成相关的 pga 家族基因(如 pgaA、pgaB、pgaC)。这些特定基因的存在往往提示菌株具有更强的侵袭力、耐药性或生物膜形成能力。
携带这些毒力因子的患者,病情显著更重。数据显示,他们的持续性器官衰竭发生率达100%(未检出组为57.1%),死亡率高达77.7%,且全身炎症指标(降钙素原、白介素-6)也显著升高。
这意味着MetaCAP 在确诊感染的同时,还能通过毒力基因分析,帮助临床医生提前识别出那些可能走向器官衰竭、死亡风险极高的“高危患者”,从而实现更早期的强化治疗和更精准的预后判断,真正实现从诊断到预后管理的全程赋能。

据介绍,湘雅医院胰腺外科黄耿文团队一直致力于急性胰腺炎的临床研究,从关键的临床问题出发,构建了多个高质量的前瞻性临床研究队列,牵头多项多中心临床研究,并组建了胰腺炎生物样本库,用详实的湘雅数据回答急性胰腺炎领域悬而未决的临床问题,为急性胰腺炎的精准诊疗提供循证医学证据。研究团队已相继在《Journal of Infection》《International Journal of Surgery》《eClinicalMedicine》《British Journal of Surgery》《Surgery》等专业领域顶级或知名期刊产出系列临床研究成果。“危重型胰腺炎多学科协作体系的建立”“重症胰腺炎继发复杂腹腔感染的治疗体系”“微创入路腹膜后胰腺坏死组织清除术”等技术和项目分别荣获湖南省临床十大新技术奖、湖南省医学教育科技创新奖和中南大学医疗新技术成果奖等多项荣誉。
金域医学MetaCAP ,以优于传统方法的效能,在感染性胰腺坏死的诊疗中,实现快速精准诊断与预后风险预警的双重突破,助力临床把握黄金救治窗口。未来,公司将继续深耕感染性疾病精准诊断领域,携手全国医疗机构,共同构建更快速、更精准、更全面的感染性疾病诊断体系,守护百姓健康。
投稿邮箱:lukejiwang@163.com 详情访问豌豆财经网:http://www.wdyxw.com.cn
头条资讯























